Document
Simon Kilshaw The Data Selfie Project

DATA SELFIE

card__image
New

Data Selfie Album

A taster playlist of compositions, tests and musical sketches from the Data Selfie environment. Solos, lead lines, scratching, instrumental gating at various bpm.

card__image
New

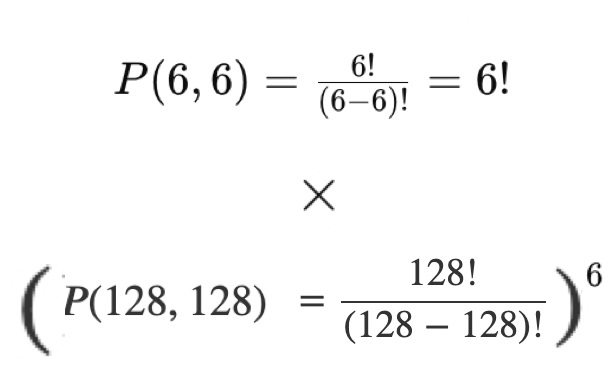
Factorial Permutations

In the Data Selfie, there are !6= 720 permutation to arrange a 6 string data slider set into an ordered sequence. Each slider contains 128 possible states , and so there are 6! X (128^6)! possible combination states.

New

96 bpm Demo

10 minutes of continuous Data Selfie scratching patterns and rhythms over a 96bpm loop. Here, the backing track is kept simple and uncluttered in order to focus the listening of the pattern sequences and the rhythmic construction of the improvisation.

New

Scratch Audio Engine

Live demonstration of the Audio Engine. Visualisation of how the Data Selfie passes through the audio parameters.

New

Theory of the Data Selfie

Understanding the what, how and why of the Data Selfie. An explanation of the software environment and it's implementation in computer music applications.

New

Scratching in the DAW

Audio output from the Data Selfie in Logic Pro, over a funk beat loop. Shows phrasing, note onset and rests.

Scratching Demos

card__image
New

Midi Grooves

A selection of scratching patterns and rhythms downloadable as midi groove files. Created by the Data Selfie.

New

130 bpm Demo

A midi on-set score visualisation of scratching patterns and phrases by the Digital Selfie at 130 bpm.Solo scratching over instrumental production.

New

160bpm Midi Gating Demo

Solo scratching and synchronous gating of backing track elements from the Data Selfie. GUI demonstration.

New

65 bpm pitched

Top lining melodic ideas, with hard pitch correction. Swung feel at 65 Bpm.

New

110 bpm Demo

Short Demonstration of the Vanilla Data Selfie improvising patterns and phrases at 110 bpm over a simple looped two chord beat. D sharp minor. The signal is offset by -1/8 bar.

New

Minor Pentatonic Scratch Soloing 100 bpm

Midi visualisation of the construct and flow of 8 phrased passes of the Data Selfie over a 4 chord progression.

Instrumental Experiments

New

Data Selfie Banjo Roll

Midi output from the Data Selfie, voiced as dobro comping alongside a banjo solo. Example of Data Selfies as backing track creation elements.

New

Data Selfie Data Selfie Smoking Clav Comping

Sixteen passes of the Data Selfie comping in F minor. Score Visualisation from Logic.

New

Data Selfie muted guitar phrases

Pentatonic noodling. Data Selfie GUI in action. Realtime midi recording of the output of the Data Selfie.

New

Data Selfie Conga Patterns

Percussive patterns and phrases from the Data Selfie, passing through a set of midi Congas in Logic. Here the pitches are limited to the range of the visual midi instrument.

New

Forever grooves and fills Timbales

100 bpm generating fills every four bars. The Data Selfie as a studio tool in beat- based music production.

New

Brass Stabs Comping 100bpm

Three part brass chords generated with the Data Selfie. Demonstration of automatic backing track creation. This version does not include the scratch solo featured in the album.

Code Repository

The Data Selfie Project 2024 Simon Kilshaw